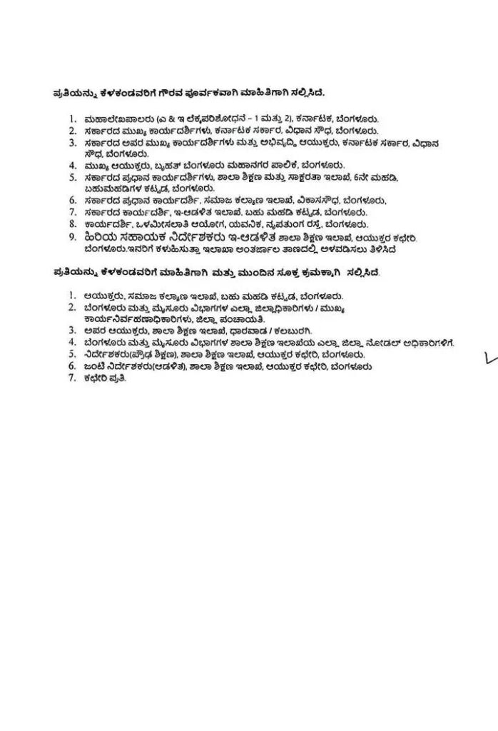
ಬೆಂಗಳೂರು : ಪರಿಶಿಷ್ಟ ಜಾತಿಯಲ್ಲಿ ಒಳ ಮೀಸಲು ಕಲ್ಪಿಸುವ ಸಲುವಾಗಿ ದತ್ತಾಂಶ ಸಂಗ್ರಹ ಉದ್ದೇಶದೊಂದಿಗೆ ನಿವೃತ್ತ ನ್ಯಾ| ಎಚ್.ಎನ್ ನಾಗಮೋಹನ್ ದಾಸ್ ನೇತೃತ್ವದ ಆಯೋಗ ಸೋಮವಾರದಿಂದ ಸಮೀಕ್ಷೆ ಆರಂಭಿಸಲಿದೆ.
ಗೌರವಾನ್ವಿತ ನ್ಯಾಯಮೂರ್ತಿಗಳಾದ ಶ್ರೀ ಹೆಚ್ ಎನ್ ನಾಗಮೋಹನ ದಾಸ್ ಇವರ ಏಕ ಸದಸ್ಯ ವಿಚಾರಣಾ ಆಯೋಗದಿಂದ ಪರಿಶಿಷ್ಟ ಜಾತಿಯ ಒಳ ಮೀಸಲಾತಿ ಕುರಿತು ದತ್ತಾಂಶ ಸಂಗ್ರಹಿಸಲು ಸರ್ಕಾರದಿಂದ ನಡೆಸಲು ಉದ್ದೇಶಿಸಿರುವ ಸಮೀಕ್ಷಾ ಕಾರ್ಯವನ್ನು ಸರ್ಕಾರದ ಅಗತ್ಯ ಕಾರ್ಯವೆಂದು ಪರಿಗಣಿಸಿ, ಕರಾರುವಕ್ಕಾದ ಪ್ರಮಾಣೀಕೃತ ಮಾಹಿತಿಯನ್ನು ಪಡೆಯುವ ಸಲುವಾಗಿ ಸಮೀಕ್ಷಾ ಕಾರ್ಯಕ್ಕೆ ಶಿಕ್ಷಕರನ್ನು ಗಣತಿದಾರರನ್ನಾಗಿ (Enumerators) ಗುರುತಿಸಲು ಹಾಗೂ ಅದರೊಂದಿಗೆ ೫.10 ರಷ್ಟು ಶಿಕ್ಷಕರನ್ನು ಹೆಚ್ಚುವರಿಯಾಗಿ ಕಾಯ್ದಿರಿಸಲು ಹಾಗೂ 10 ರಿಂದ 12 ಗಣತಿದಾರರಿಗೆ ಓರ್ವ ಮೇಲ್ವಿಚಾರಕರನ್ನು ಗುರುತಿಸಲು ಆದೇಶಿಸಿದ.
ಮುಂದುವರೆದು, ಬೆಂಗಳೂರು ಮತ್ತು ಮೈಸೂರು ವಿಭಾಗಗಳಿಗೆ ಆಯುಕ್ತರು, ಶಾಲಾ ಶಿಕ್ಷಣ ಇಲಾಖೆ, ಬೆಂಗಳೂರು ಇವರು ನೋಡಲ್ ಅಧಿಕಾರಿಯಾಗಿದ್ದು, ಈ ಕುರಿತು ಸಂಪೂರ್ಣ ಮೇಲ್ವಿಚಾರಣೆ ಮತ್ತು ಮಾರ್ಗದರ್ಶನ ಮಾಡತಕ್ಕದ್ದು ಮತ್ತು ಸಂಬಂಧಪಟ್ಟ ಜಿಲ್ಲಾಧಿಕಾರಿಗಳು/ಆಯುಕ್ತರು. ಬೃಹತ್ ಬೆಂಗಳೂರು ಮಹಾನಗರ ಪಾಲಿಕೆ ಇವರೊಂದಿಗೆ ಸಮನ್ವಯ ಸಾಧಿಸಿ ಸಮೀಕ್ಷಾ ಕಾರ್ಯವನ್ನು ನಿಗದಿತ ಅವಧಿಯೊಳಗೆ ನಿಯಮಾನುಸಾರ ಪೂರ್ಣಗೊಳಿಸತಕ್ಕದ್ದು ಎಂಬ ಮೇಲ್ಕಂಡ ಅಂಶಗಳನ್ನು ಸರ್ಕಾರದ ಉಲ್ಲೇಖಿತ ಆದೇಶದಲ್ಲಿ ತಿಳಿಸಲಾಗಿದೆ (ಪ್ರತಿ ಲಗತ್ತಿಸಿದೆ).
ಅದರಂತೆ ಈ ಕುರಿತು ಕಳಕಂಡ ಅಗತ್ಯ ಕ್ರಮಗಳನ್ನು ಅತ್ಯಂತ ಜರೂರಾಗಿ ಕೈಗೊಂಡು ಸದರಿ ಕಾರ್ಯವನ್ನು ನಿಗದಿತ ಕಾಲಾವಧಿಯೊಳಗೆ ಪೂರ್ಣಗೊಳಿಸಲು ನಿಯಮಾನುಸಾರ ಅಗತ್ಯ ಕ್ರಮಗಳನ್ನು ವಹಿಸುವಂತೆ ಕೆಳಕಂಡ ಇಲಾಖಾಧಿಕಾರಿಗಳಿಗೆ ಈ ಮೂಲಕ ಸೂಚಿಸಲಾಗಿದೆ.
1. ಬೆಂಗಳೂರು ಮತ್ತು ಮೈಸೂರು ವಿಭಾಗಕ್ಕೆ ಸಂಬಂಧಿಸಿದಂತೆ, ಸದರಿ ಸಮೀಕ್ಷೆಗೆ ಅಗತ್ಯವಿರುವ ಒಟ್ಟು 34,331 ಗಣತಿದಾರರ (Enumerators), 10% ಹೆಚ್ಚುವರಿ (ಕಾಯ್ದಿರಿಸಿದ) ಗಣತಿದಾರರ (Reserved Enumerators) ಹಾಗೂ 10-12 ಗಣತಿದಾರರಿಗೊಬ್ಬರಂತೆ ಮೇಲ್ವಿಚಾರಕರ (Supervisor) ಜಿಲ್ಲಾವಾರು ವಿವರಗಳನ್ನು ಒಳಗೊಂಡ ಅನುಬಂಧ-01 ಅನ್ನು ಈ ಪತ್ರದೊಂದಿಗೆ ಲಗತ್ತಿಸಿ ಸಲ್ಲಿಸಿದೆ.
2. ಈ ಪ್ರಕ್ರಿಯೆಗೆ ಸಂಬಂಧಿಸಿದಂತೆ ಬೆಂಗಳೂರು ಮತ್ತು ಮೈಸೂರು ವಿಭಾಗದ ಆಯಾ ಕ್ಷೇತ್ರ ಶಿಕ್ಷಣಾಧಿಕಾರಿಗಳನ್ನು ತಾಲ್ಲೂಕು ನೋಡಲ್ ಅಧಿಕಾರಿಯನ್ನಾಗಿ ಹಾಗೂ ಉಪನಿರ್ದೇಶಕರು(ಆಡಳಿತ) ರವರನ್ನು ಜಿಲ್ಲಾ ನೋಡಲ್ ಅಧಿಕಾರಿಯನ್ನಾಗಿ ಮತ್ತು ವಿಭಾಗೀಯ ಸಹ ನಿರ್ದೇಶಕರನ್ನು ವಿಭಾಗಿಯ ನೋಡಲ್ ಅಧಿಕಾರಿಯನ್ನಾಗಿ ನೇಮಿಸಿ ಆದೇಶಿಸಲಾಗಿದೆ.
3. ಅದರಂತೆ, ಸದರಿ 34,331 ಗಣತಿದಾರರ (Enumerators) ಮತ್ತು 10% ಹೆಚ್ಚುವರಿ (ಕಾಯ್ದಿರಿಸಿದ) 3,433 ಗಣತಿದಾರರ ಹುದ್ದೆಗಳಿಗೆ ಆಯಾ ಜಿಲ್ಲಾ ವ್ಯಾಪ್ತಿಯ ಪೂರ್ಣಕಾಲಿಕ ಶಿಕ್ಷಕರನ್ನು ಮತ್ತು ಸದರಿ ಮೇಲ್ವಿಚಾರಕರ (Supervisor) ಹುದ್ದೆಗಳಿಗೆ ಆಯಾ ಜಿಲ್ಲಾ ವ್ಯಾಪ್ತಿಯ ಮುಖ್ಯ ಶಿಕ್ಷಕರನ್ನು ಅತ್ಯಂತ ಜರೂರಾಗಿ ನೇಮಿಸಲು ಅನುವಾಗುವಂತೆ ಈ ಪತ್ರದೊಂದಿಗೆ ಲಗತ್ತಿಸಿರುವ ನಮೂನೆಗಳಲ್ಲಿ ಹುದ್ದೆವಾರು ಜಿಲ್ಲಾವಾರು ದೃಢೀಕೃತ ಕ್ರೋಢಿಕೃತ ಪಟ್ಟಿಗಳನ್ನು ಸಂಬಂಧಿಸಿದ ಜಿಲ್ಲಾಧಿಕಾರಿಗಳಿಗೆ ದಿನಾಂಕ: 25.04.2025ರೊಳಗೆ ನೀಡಲು ಮತ್ತು ಯಥಾಪ್ರತಿಗಳನ್ನು ಆ ದಿನವೇ ಆಯಾ ವಿಭಾಗೀಯ ಸಹನಿರ್ದೇಶಕರಿಗೆ ಸಲ್ಲಿಸಲು ನಿಯಮಾನುಸಾರ ಅಗತ್ಯ ಕ್ರಮಗಳನ್ನು ವಹಿಸುವಂತೆ ಬೆಂಗಳೂರು ಮತ್ತು ಮೈಸೂರು ವಿಭಾಗಗಳ ಆಯಾ ಜಿಲ್ಲಾ ಉಪನಿರ್ದೇಶಕರು(ಆಡಳಿತ) ಮತ್ತು ಜಿಲ್ಲಾ ನೋಡಲ್ ಅಧಿಕಾರಿಗಳಿಗೆ ತಿಳಿಸಲಾಗಿದೆ. ವಿಭಾಗ ಮಟ್ಟದ ಹುದ್ದೆವಾರು ದೃಢೀಕೃತ ಕ್ರೋಢಿಕೃತ ಪಟ್ಟಿಗಳನ್ನು (Soft copy ಅನ್ನು MS-Excel NIRMALA-UI ರಲ್ಲಿ ಮತ್ತು ದೃಢೀಕೃತ ಪಟ್ಟಿಯನ್ನು PDF ರೂಪದಲ್ಲಿ) ದಿನಾಂಕ: 25.04.2025ರೊಳಗೆ ಈ ಕಛೇರಿಗೆ ಇ-ಮೇಲ್ adm2cpi@gmail.com ಮತ್ತು ಅಂಚೆ ಮೂಲಕ ಸಲ್ಲಿಸಲು ಸದರಿ ವಿಭಾಗೀಯ ಸಹನಿರ್ದೇಶಕರು ಅಗತ್ಯ ಕ್ರಮವಹಿಸತಕ್ಕದ್ದು.
4. ಈ ಎಲ್ಲಾ ಗಣತಿದಾರರು (Enumerators) ಮತ್ತು 10% ಹೆಚ್ಚುವರಿ (ಕಾಯ್ದಿರಿಸಿದ) 3,433 ಗಣತಿದಾರರು ಮತ್ತು ಮೇಲ್ವಿಚಾರಕರು (Supervisor) ಸರ್ಕಾರದ ಉಲ್ಲೇಖಿತ ಆದೇಶದಂತೆ ಈ ಸಮೀಕ್ಷಾ ಕಾರ್ಯಕ್ಕೆ ಮತ್ತು ತತ್ಸಂಬಂಧಿ ತರಬೇತಿಗಳಿಗೆ ತಪ್ಪದೇ ಹಾಜರಾಗಲು ತಿಳಿಸಲಾಗಿದೆ. ತಪ್ಪಿದಲ್ಲಿ ನಿಯಮಾನುಸಾರ ಶಿಸ್ತು ಕ್ರಮವನ್ನು ಜರುಗಿಸಲಾಗುವುದು ಎಂದು ಈ ಮೂಲಕ ಎಚ್ಚರಿಸಲಾಗಿದೆ. ಆಯಾ ಜಿಲ್ಲಾ ಮತ್ತು ವಿಭಾಗದ ವ್ಯಾಪ್ತಿಯಲ್ಲಿ ಸದರಿ ಸಮೀಕ್ಷಾ ಕಾರ್ಯಕ್ಕೆ ಮತ್ತು ತತ್ಸಂಬಂಧಿ ತರಬೇತಿಗಳಿಗೆ ಸದರಿಯವರು ಶೇ. 100 ರಷ್ಟು ಹಾಜರಾಗಿರುವುದನ್ನು ಆಯಾ ಜಿಲ್ಲಾ ಉಪನಿರ್ದೇಶಕರು(ಆಡಳಿತ) ಮತ್ತು ಜಿಲ್ಲಾ ನೋಡಲ್ ಅಧಿಕಾರಿಗಳು ಹಾಗೂ ಸಂಬಂಧಿಸಿದ ವಿಭಾಗೀಯ ಸಹನಿರ್ದೇಶಕರು ಮತ್ತು ವಿಭಾಗೀಯ ನೋಡಲ್ ಅಧಿಕಾರಿಗಳು ಖಚಿತಪಡಿಸತಕ್ಕದ್ದು.
5. ಸರ್ಕಾರದಿಂದ. ಸಂಬಂಧಿಸಿದ ಇಲಾಖೆಗಳಿಂದ / ಪ್ರಾಧಿಕಾರಗಳಿಂದ ಹಾಗೂ ಆಯಾ ಜಿಲ್ಲಾಡಳಿತಗಳಿಂದ ಮತ್ತು ಬೃಹತ್ ಬೆಂಗಳೂರು ಮಹಾನಗರ ಪಾಲಿಕೆಯಿಂದ ಕಾಲ-ಕಾಲಕ್ಕೆ ನೀಡಲಾಗುವ ನಿರ್ದೇಶನಗಳನ್ನು ಚಾಚೂ ತಪ್ಪದೇ ಪಾಲಿಸುವುದರ ಮೂಲಕ ಸದರಿ ಸಮೀಕ್ಷೆ ಕಾರ್ಯವನ್ನು ನಿಗಧಿತ ಅವಧಿಯಲ್ಲಿ ಕೈಗೊಳ್ಳಲು ಮೇಲ್ಕಂಡ ಗಣತಿದಾರರಿಗೆ (Enumerators) ತಿಳಿಸಲಾಗಿದೆ. ಸದರಿಯವರು ಸಂಗ್ರಹಿಸಿದ ಮಾಹಿತಿಯನ್ನು ಪರಿಶೀಲಿಸಿ ಖಚಿತಪಡಿಸಲು/ಪರಿಶೀಲಿಸಿ ಸರಿಪಡಿಸಲು ಅಗತ್ಯ ಕ್ರಮವಹಿಸುವಂತೆ ಸದರಿ ಮೇಲ್ವಿಚಾರಕರಿಗೆ (Supervisor) ತಿಳಿಸಲಾಗಿದೆ.
6. ಮುಂದುವರೆದು, ಸರ್ಕಾರದಿಂದ, ಸಂಬಂಧಿಸಿದ ಇಲಾಖೆಗಳಿಂದ / ಪ್ರಾಧಿಕಾರಗಳಿಂದ ಹಾಗೂ ಆಯಾ ಜಿಲ್ಲಾಡಳಿತಗಳಿಂದ ಮತ್ತು ಬೃಹತ್ ಬೆಂಗಳೂರು ಮಹಾನಗರ ಪಾಲಿಕೆಯಿಂದ ಕಾಲ-ಕಾಲಕ್ಕೆ ನೀಡಲಾಗುವ ನಿರ್ದೇಶನಗಳನ್ನು ಆಧರಿಸಿ ಈ ಸಮೀಕ್ಷಾ ಕಾರ್ಯವನ್ನು ನಿಗದಿತ ಕಾಲಾವಧಿಯೊಳಗೆ ಪೂರ್ಣಗೊಳಿಸಲು ಮೇಲ್ಕಂಡ ಗಣತಿದಾರರಿಗೆ (Enumerators) ಮತ್ತು ಮೇಲ್ವಿಚಾರಕರಿಗೆ (Supervisor) ಅಗತ್ಯ ಸೂಚನೆಗಳನ್ನು / ಮಾರ್ಗದರ್ಶನವನ್ನು ನೀಡಲು ಮತ್ತು ಸಮಗ್ರವಾದ ಮೇಲ್ವಿಚಾರಣಾ ಕಾರ್ಯಗಳನ್ನು ಕೈಗೊಳ್ಳಲು ಮೇಲ್ಕಂಡ ನೋಡಲ್ ಅಧಿಕಾರಿಗಳಿಗೆ ತಿಳಿಸಲಾಗಿದೆ.












